
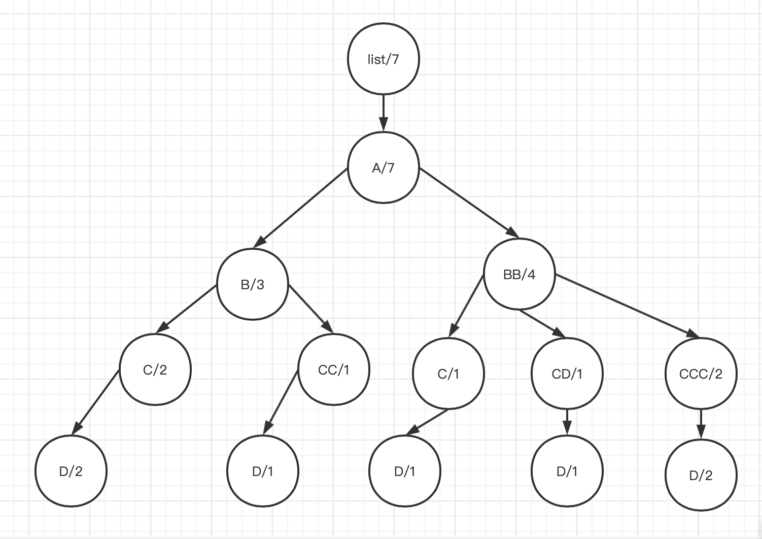
现在有这样一个需求,一列中相邻行的值相同进行合并,但合并必须是在前一个字段的集合下合并。
如上:B列,按照相邻行相同字段进行合并,此时合并为B组和BB组两个分组。
C列,前三行在B组的集合下可以分为 C组和CC组 后四行在BB组的集合下分为C组,CD组,CCC组三组
以此类推…,后面所有分组依赖于前一个列的分组数据。
就此,想请教一下怎么去实现这个需求。我只能想到是一个树形结构,但如果列数较多是否层级会很深。
最后想要的结果如下图
节点里面的数字代码这个节点下有多少条数据,其实就是每个子节点寻找相同是必须在父节点的数据集,而不是list整个数据中去找。