采纳答案成功!
向帮助你的同学说点啥吧!感谢那些助人为乐的人
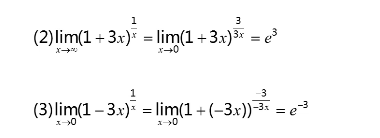
对于题目中存在的错误抱歉哈,后续我们会将类似错误统一修改的。
懂了 懂了 谢谢老师
不客气啦
登录后可查看更多问答,登录/注册
一门有趣的高等数学应用课,建立优秀程序员必备思维
2.2k 17
1.4k 9
1.2k 8
1.2k 7
1.4k 7
购课补贴联系客服咨询优惠详情
慕课网APP您的移动学习伙伴
扫描二维码关注慕课网微信公众号